Article Contents
REPORT   Open Access     Cite

Particulate organic matter triggers photoelectrotrophic denitrification: An overlooked biogeochemical reaction induced by sunlight

More Information
  • Corresponding authors: Aguwing@163.com (S.H.);  sgzhou@soil.gd.cn (S.Z.)
  • DownLoad: Full size image
    1. Particulate organic matter (POM) can trigger photoelectrotrophic denitrification (PEDeN).

      POM promotes PEDeN by acting as a bacterial photosensitizer, photoelectron shuttle and sacrifice agent.

      POM with self-oxidation during triggering PEDeN may impact carbon turnover in ecosystems.

      Highlights overlooked biogeochemical processes of elements/pollutants driven by POM-microbe systems.

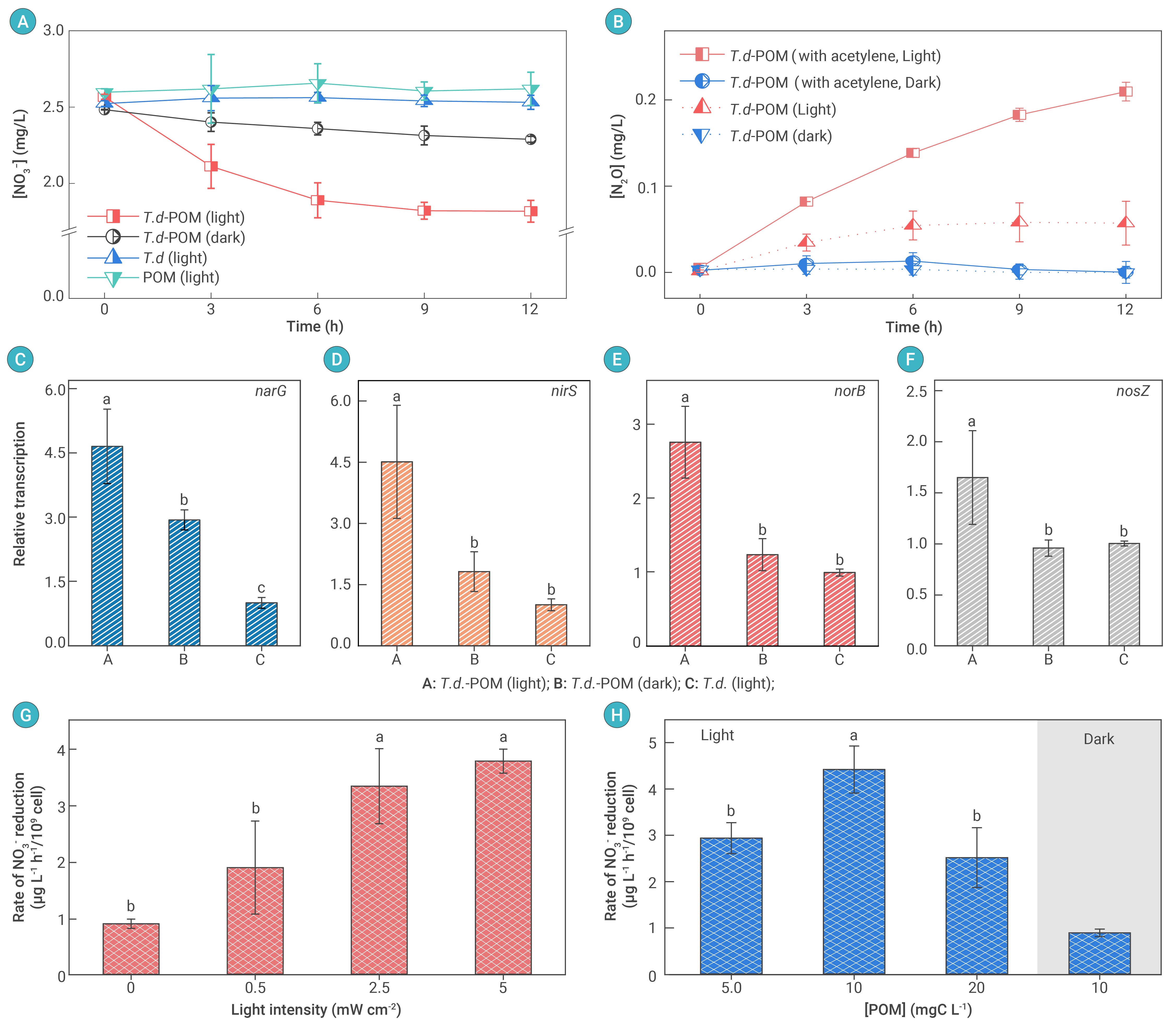
  • Particulate organic matter (POM) is a major carbon pool in terrestrial and aquatic ecosystems and its biogeochemical processes significantly affect the global carbon cycle and trophic levels of ecosystems. As a natural photosensitizer, there have been no reports on photoelectron transfer from POM to microorganisms, leading to the long-term neglect of POM biogeochemical processes. Using photoelectrotrophic denitrification (PEDeN) as a model system, this study is the first to demonstrate the POM-triggered PEDeN effect; that is, photoelectrons from POM were used to drive microbial denitrification. By constructing the Thiobacillus denitrificans-POM system, it was found that irradiation accelerated nitrate reduction with a kinetic constant of 0.03 ± 0.007 h−1. Irradiation resulted in a complete denitrification with nitrogen as the main product (56.3 ± 8.8%), compared to the dark system with nitrite as the main product. The significantly upregulated (p < 0.01) denitrifying genes support the idea that the conversion of nitrate to nitrogen is a microbial-mediated process. During this process, POM plays multiple roles: photosensitizing microorganisms, mediating photoelectron transfer, and acting as a sacrificial donor. The first two roles of POM have not been established previously, revealing a new electron-transfer mechanism between POM and microorganisms. The latter accelerated POM dissolution, representing a newly discovered POM photodissolution process involving microorganisms. The study highlights the previously overlooked photoelectrochemical reactions of POM with microorganism, emphasizing the need to explore the biogeochemical processes triggered by POM-microorganisms system and suggesting a strategy for promoting sunlight-driven denitrification in surface environments.
  • 加载中
  • [1] Chen X., Feng Q., Cai Q., et al. (2020). Mn3O4 nanozyme coating accelerates nitrate reduction and decreases N2O emission during photoelectrotrophic denitrification by Thiobacillus denitrificans-CdS. Environ. Sci. Technol. 54:10820−10830. DOI:10.1021/acs.est.0c02709

    View in Article CrossRef Google Scholar

    [2] Huang S., Ye J., Gao J., et al. (2024). Harnessing microbes to pioneer environmental biophotoelectrochemistry. Trends Biotechnol. 42:1677−1690. DOI:10.1016/j.tibtech.2024.07.005

    View in Article CrossRef Google Scholar Scopus

    [3] Chen M., Zhou X., Yu Y. Q., et al. (2019). Light-driven nitrous oxide production via autotrophic denitrification by self-photosensitized Thiobacillus denitrificans. Environ. Int. 127:353−360. DOI:10.1016/j.envint.2019.03.045

    View in Article CrossRef Google Scholar

    [4] Cui S., Si Y., Fu X., et al. (2023). Intracellularly-photosensitized bio-hybrid with biogenic quantum dots for enhanced wastewater denitrification. Chem. Eng. J. 457:141237. DOI:10.1016/j.cej.2022.141237

    View in Article CrossRef Google Scholar Scopus

    [5] Xue B., Tian L., Liu Y., et al. (2024). Enhanced nitrate reduction in hypotrophic waters with integrated photocatalysis and biodegradation. Environ. Sci. Ecotechnol. 21:100390. DOI:10.1016/j.ese.2024.100390

    View in Article CrossRef Google Scholar Scopus

    [6] Cheng H., Tian X., Li C., et al. (2017). Microbial photoelectrotrophic denitrification as a sustainable and efficient way for reducing nitrate to nitrogen. Environ. Sci. Technol. 51:12948−12955. DOI:10.1021/acs.est.7b02557

    View in Article CrossRef Google Scholar

    [7] Chen M., Cai Q., Chen X., et al. (2022). Anthraquinone-2-sulfonate as a microbial photosensitizer and capacitor drives solar-to-N2O production with a quantum efficiency of almost unity. Environ. Sci. Technol. 56:5161−5169. DOI:10.1021/acs.est.1c08710

    View in Article CrossRef Google Scholar

    [8] Huang S., Chen K., Chen X., et al. (2023). Sunlight significantly enhances soil denitrification via an interfacial biophotoelectrochemical pathway. Environ. Sci. Technol. 57:7733−7742. DOI:10.1021/acs.est.3c00236

    View in Article CrossRef Google Scholar

    [9] Huang S., Chen M., Diao Y., et al. (2022). Dissolved organic matter acting as a microbial photosensitizer drives photoelectrotrophic denitrification. Environ. Sci. Technol. 56:4632−4641. DOI:10.1021/acs.est.1c07556

    View in Article CrossRef Google Scholar

    [10] Witzgall K., Vidal A., Schubert D., et al. (2021). Particulate organic matter as a functional soil component for persistent soil organic carbon. Nat. Commun. 12:1−10. DOI:10.1038/s41467-021-24192-8

    View in Article CrossRef Google Scholar Scopus

    [11] Angst G., Mueller K. E., Castellano M. J., et al. (2023). Unlocking complex soil systems as carbon sinks: multi-pool management as the key. Nat. Commun. 14:2967. DOI:10.1038/s41467-023-38700-5

    View in Article CrossRef Google Scholar Scopus

    [12] Guo Z., Wang Y., Wan Z., et al. (2020). Soil dissolved organic carbon in terrestrial ecosystems: Global budget, spatial distribution and controls. Global Ecol. Biogeogr. 29:2159−2175. DOI:10.1111/geb.13186

    View in Article CrossRef Google Scholar Scopus

    [13] Rice J. A. (2001). Humin. Soil Sci. 166:848−857. DOI:10.1097/00010694-200111000-00009

    View in Article CrossRef Google Scholar Scopus

    [14] Hu B., Wang P., Wang C., et al. (2022). Photogeochemistry of particulate organic matter in aquatic systems: A review. Sci. Total Environ. 806:150467. DOI:10.1016/j.scitotenv.2021.150467

    View in Article CrossRef Google Scholar Scopus

    [15] Appiani E. and McNeill K. (2015). Photochemical production of singlet oxygen from particulate organic matter. Environ. Sci. Technol. 49:3514−3522. DOI:10.1021/es505712e

    View in Article CrossRef Google Scholar Scopus

    [16] Huang Y., Qian T., Dang F., et al. (2019). Significant contribution of metastable particulate organic matter to natural formation of silver nanoparticles in soils. Nat. Commun. 10:3775. DOI:10.1038/s41467-019-11643-6

    View in Article CrossRef Google Scholar Scopus

    [17] Gao C., Sander M., Agethen S., et al. (2019). Electron accepting capacity of dissolved and particulate organic matter control CO2 and CH4 formation in peat soils. Geochim. Cosmochim. Acta 245:266−277. DOI:10.1016/j.gca.2018.11.004

    View in Article CrossRef Google Scholar

    [18] Grinhut T., Hadar Y. and Chen Y. (2007). Degradation and transformation of humic substances by saprotrophic fungi: processes and mechanisms. Fungal Biol. Rev. 21:179−189. DOI:10.1016/j.fbr.2007.09.003

    View in Article CrossRef Google Scholar Scopus

    [19] Roden E. E., Kappler A., Bauer I., et al. (2010). Extracellular electron transfer through microbial reduction of solid-phase humic substances. Nat. Geosci. 3:417−421. DOI:10.1038/ngeo870

    View in Article CrossRef Google Scholar Scopus

    [20] Stern N., Mejia J., He S., et al. (2018). Dual role of humic substances as electron donor and shuttle for dissimilatory iron reduction. Environ. Sci. Technol. 52:5691−5699. DOI:10.1021/acs.est.7b06574

    View in Article CrossRef Google Scholar

    [21] Tang Y., Chen J., Xiao Z., et al. (2022). Humin and biochar accelerated microbial reductive dechlorination of 2,4,6-trichlorophenol under weak electrical stimulation. J. Hazard. Mater. 439:129671. DOI:10.1016/j.jhazmat.2022.129671

    View in Article CrossRef Google Scholar Scopus

    [22] Chen D., Li Y., Jiang Q., et al. (2023). Biogenic ferrihydrite-humin coprecipitate as an electron donor for the enhancement of microbial denitrification by Pseudomonas stutzeri. Environ. Res. 216:114837. DOI:10.1016/j.envres.2022.114837

    View in Article CrossRef Google Scholar

    [23] Georgi A., Reichl A., Trommler U., et al. (2007). Influence of sorption to dissolved humic substances on transformation reactions of hydrophobic organic compounds in water. I. Chlorination of PAHs. Environ. Sci. Technol. 41:7003−7009. DOI:10.1021/es070985l

    View in Article CrossRef Google Scholar Scopus

    [24] Pham D. M., Kasai T., Yamaura M., et al. (2021). Humin: No longer inactive natural organic matter. Chemosphere 269:128697. DOI:10.1016/j.chemosphere.2020.128697

    View in Article CrossRef Google Scholar Scopus

    [25] Sadchikov A. P. and Ostroumov S. A. (2018). Issues of the study of detritus in aquatic systems. Russ. J. Gen. Chem. 87:3244−3249. DOI:10.1134/s1070363217130199

    View in Article CrossRef Google Scholar

    [26] Shao M., Zhang T. and Fang H. (2010). Sulfur-driven autotrophic denitrification: diversity, biochemistry, and engineering applications. Appl. Microbiol. Biotechnol. 88:1027−1042. DOI:10.1007/s00253-010-2847-1

    View in Article CrossRef Google Scholar

    [27] Yang Y., Shu L., Wang X., et al. (2011). Impact of de-ashing humic acid and humin on organic matter structural properties and sorption mechanisms of phenanthrene. Environ. Sci. Technol. 45:3996−4002. DOI:10.1021/es2003149

    View in Article CrossRef Google Scholar Scopus

    [28] Ye J., Hu A., Ren G., et al. (2018). Red mud enhances methanogenesis with the simultaneous improvement of hydrolysis-acidification and electrical conductivity. Bioresour. Technol. 247:131−137. DOI:10.1016/j.biortech.2017.08.063

    View in Article CrossRef Google Scholar Scopus

    [29] Zhang C. and Katayama A. (2012). Humin as an electron mediator for microbial reductive dehalogenation. Environ. Sci. Technol. 46:6575−83. DOI:10.1021/es3002025

    View in Article CrossRef Google Scholar Scopus

    [30] Chen S., Jing X., Yan Y., et al. (2021). Bioelectrochemical fixation of nitrogen to extracellular ammonium by Pseudomonas stutzeri. Appl. Environ. Microbiol. 87. DOI:10.1128/aem.01998-20

    View in Article Google Scholar

    [31] Song W., Clough T., Hou H., et al. (2024). Nitrate-induced hydroxyl radical releases deep soil organic carbon by opening the ‘enzyme latch’ under micro-aerobic conditions. Soil Biol. Biochem. 192:109389. DOI:10.1016/j.soilbio.2024.109389

    View in Article CrossRef Google Scholar Scopus

    [32] He W., Chen M., Schlautman M. A., et al. (2016). Dynamic exchanges between DOM and POM pools in coastal and inland aquatic ecosystems: A review. Sci. Total Environ. 551:415−428. DOI:10.1016/j.scitotenv.2016.02.031

    View in Article CrossRef Google Scholar Scopus

    [33] Lovley D. R., Fraga J. L., Coates J. D., et al. (1999). Humics as an electron donor for anaerobic respiration. Environ. Microbiol. 1:89−98. DOI:10.1046/j.1462-2920.1999.00009.x

    View in Article CrossRef Google Scholar Scopus

    [34] Zhu N., Wu Y., Tang J., et al. (2018). A new concept of promoting nitrate reduction in surface waters: simultaneous supplement of denitrifiers, electron donor pool, and electron mediators. Environ. Sci. Technol. 52:8617−8626. DOI:10.1126/j.science.11861

    View in Article CrossRef Google Scholar

    [35] Zhou X., Huang S., Chen X., et al. (2023). Mechanisms of extracellular photoelectron uptake by a Thiobacillus denitrificans-cadmium sulfide biosemiconductor system. Chem. Eng. J. 468:143667. DOI:10.1016/j.cej.2023.143667

    View in Article CrossRef Google Scholar

    [36] Canfield D., Glazer A., Falkowski P., (2010). The evolution and future of Earth’s nitrogen cycle. Science 330: 192-196. DOI:10.1002/anie.201915034

    View in Article Google Scholar

    [37] Dai Y., Poidevin C., Ochoa‐Hernández C., et al. (2020). A Supported bismuth halide perovskite photocatalyst for selective aliphatic and aromatic C–H bond activation. Angew. Chem. Int. Ed. 59:5788−5796. DOI:10.1002/anie.201915034

    View in Article CrossRef Google Scholar

    [38] Lokesh S., Lard M. L., Cook R. L., et al. (2023). Critical role of semiquinones in reductive dehalogenation. Environ. Sci. Technol. 57:14218−14225. DOI:10.1021/acs.est.3c03981

    View in Article CrossRef Google Scholar

    [39] Fu Y., Qian Y., Zhang A., et al. (2022). Long-acting ultraviolet-blocking mechanism of lignin: Generation and transformation of semiquinone radicals. ACS Sustainable Chem. Eng. 10:5421−5429. DOI:10.1021/acssuschemeng.1c08051

    View in Article CrossRef Google Scholar

    [40] Goia S., Richings G., Turner M. A. P., et al. (2024). Ultrafast spectroelectrochemistry of the catechol/o‐quinone redox couple in aqueous buffer solution. ChemPhotoChem. 8:e20230032. DOI:10.1002/cptc.202300325

    View in Article CrossRef Google Scholar

    [41] Huang G., Xiao Z., Zhen, W., et al. (2020). Hydrogen production from natural organic matter via cascading oxic-anoxic photocatalytic processes: An energy recovering water purification technology. Water Res. 175:115684. DOI:10.1016/j.watres.2020.115684

    View in Article CrossRef Google Scholar Scopus

  • Cite this article:

    Chen M., Huang S., Luo J., et al. (2025). Particulate organic matter triggers photoelectrotrophic denitrification: An overlooked biogeochemical reaction induced by sunlight. The Innovation Geoscience 3:100129. https://doi.org/10.59717/j.xinn-geo.2024.100129
    Chen M., Huang S., Luo J., et al. (2025). Particulate organic matter triggers photoelectrotrophic denitrification: An overlooked biogeochemical reaction induced by sunlight. The Innovation Geoscience 3:100129. https://doi.org/10.59717/j.xinn-geo.2024.100129

Welcome!

To request copyright permission to republish or share portions of our works, please visit Copyright Clearance Center's (CCC) Marketplace website at marketplace.copyright.com.

Figures(5)    

Share

  • Share the QR code with wechat scanning code to friends and circle of friends.

Article Metrics

Article views(3513) PDF downloads(1465)

Relative Articles

Cited by

Catalog

    /

    DownLoad:  Full-Size Img  PowerPoint